Category: Science

Resveratrol may speed up muscle growth
Resveratrol - When you do strength training your muscle tissue is continuously extracting stem cells from your blood so that they can then grow into m [...]
Watermelon could lower blood pressure, study suggests
Watermelon could significantly reduce blood pressure in overweight individuals both at rest and while under stress. "The pressure on the aorta and on [...]

Animal study: spirulina helps prevent breast cancer
Supplementation with Spirulina platensis probably has a protective effect against breast cancer in women. Researchers from Sultan Qaboos University in [...]

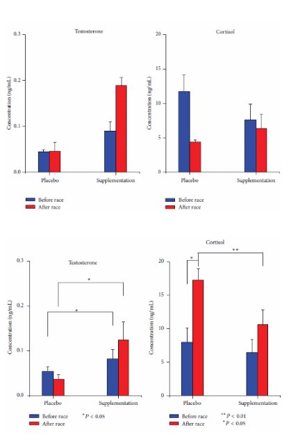
Watermelon prevents sore muscles
If you eat a couple of large chunks of watermelon before a heavy training session today, you'll have less problems with sore muscles tomorrow. Accordi [...]

Curcumin is a mild anti-oestrogen
Curcumin, the main bioactive substance in turmeric, inhibits the production of estradiol. How the anti-oestrogenic effect of curcumin works the resear [...]

Better sports drinks or pre-workout shakes contain L-citrulline
L-citrulline ~ Sports drinks with fast carbohydrates that endurance athletes drink during training sessions, and also protein shakes that bodybuilders [...]

Cause of death steroids usually means recreational drugs
When steroids users die young and unexpectedly, their death is usually not just the result of having taken muscle-enhancing substances. And no, only a [...]

Onion extract boosts testosterone level too
We've already written a couple of times about the testosterone boosting effect of onion juice. It has an immediate effect in lab animals, but it's not [...]

Onion juice: helps boost rats’ testosterone, has pro-sexual effect
If Iranian animal studies are anything to go by, fresh onion juice increases testosterone concentrations in the blood. Jordanian researchers have conf [...]

Curcumin boosts testosterone levels
A not even terribly high dose of curcumin – the principal bioactive ingredient in turmeric powder – causes a steep rise in the amount of testosterone [...]

Strength training improves cholesterol level
If overweight women take up weight training their cholesterol levels improve. The effect isn't overwhelming, but it's big enough to reduce their chanc [...]

Extra meat makes strength training more effective
People over 60 who do weight training will be slimmer and more muscular if they eat 150 g lean meat daily Australian sports scientists at Deakin Unive [...]

Exemestane makes you slimmer and more muscular
Exemestane, the active ingredient in Pfizer's Aromasin [structural formula shown below], truly is a body recompositioning drug. At least it is if you' [...]

Aromatase inhibitors give women more muscle mass
Anastrozole ~ Men show little change in body composition if you block their estradiol production with the enzyme aromatase. [Clin Endocrinol (Oxf). 20 [...]

Testosterone therapy can increase chance of heart attack
Healthy men under the age of 65 who are prescribed testosterone by their doctors are not more at risk of having a heart attack. But in men over 65 and [...]


